Thursday, 29 September 2016

FLASH NEWS 

இன்று GDS கமிட்டியின் பொது செயலர் தோழர் மஹாதேவையா நடத்திய பேச்சுவார்த்தையில் ஊதியம் சம்மந்தமான பிரச்சனைகளில் ஊழியர்களுக்கு சாதகமான முடிவுகளை அரசுக்கு தெரிவிப்பதாகவும் போனஸ் உச்சவரம்பு ரூபாய் 7000/- GDS ஊழியர்களுக்கும் வழங்கிட வேண்டும் என்று இலாகாவுக்கு பரிந்துரை செய்துள்ளதாகவும் தகவல் தெரிவித்துள்ளார். போராட்ட நடவடிக்கைகளை வேகப்படுத்தவும் கேட்டுக்கொண்டுள்ளார்.


Meeting was held with GDS Committee today
committee responded positively GDS committee  recommended Rs 7000
bonus to GDS and file was sent to postal dept
to put pressure on the dept be ready for agitations . See our website SS MAHADEVAIAH GS AIGDSU

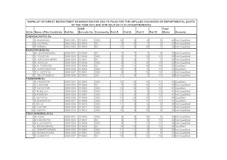
Mark list for the DR examination of GDS to the cadre of PA/SA for the vacancies of the year 2013 and 2014 held on 31.07.2016(afternoon)









வெற்றி பெற்ற தோழர்களுக்கும் தோழியர்களுக்கும் தமிழ் மாநில சங்கத்தின் வாழ்த்துக்கள் .

MEETING WITH GDS COMMITTEE ON 29-09-2016 AT 11-00 A.M IN COMMITTEE ROOM IN NEW DELHI.

 MEETING WITH GDS COMMITTEE ON 29-09-2016 AT 11-00 A.M IN COMMITTEE ROOM IN NEW DELHI.




1.   Fixation of Pay Scales
1.1        The fixation of pay scales for the Regular Departmental employees were fixed on 2.57 factor as recommended by 7th CPC.
1.2        This union desires different formula for GDS to scrap the discrimination between Departmental employees and GDS employees on the following grounds.
1.3        50% D.A. merger was denied to GDS employees during 6th CPC where as departmental employees got that benefit.
1.4        Proportionate pay scales were not granted to GDS as recommended by 6th CPC to Departmental employees.
1.5        Hence this union urges upon the committee to consider the 3.25 factor for fixation of GDS officials.
1.6        While fixing the proportionate pay scale to GDS, generally minimum slab of concerning department cadre was taken in to consideration. Due to this the senior GDS who are rendering 30 or 40 years service and newly recruited  GDS granted equal slab of pay scale  pay scales may be granted on the basis of length of service.
1.7        Financial upgradation may be granted for 10/20/30 years service.

2.   Increment
2.1        3% increment was granted to regular Departmental employees on the basis of 7th CPC recommendation. The same may be granted to GDS on new pay scale.


3.   Working Hours of B.O.
3.1        The working hours of Branch Post offices are fixed as 8 hours. If the committee doesn’t find feasibility for 8 hours, minimum working hours may be fixed as 5 hours and there after fixed on the basis of work load.


4.   CHANGE OF NOMINCLATURE
4.1        “Gramin Dak Sevaks” nomenclature may be changed as “Gramin Dak Karmachari”. TRCA may be changed as salary


5.   Allowances & Leave
5.1        All the allowances are granted at per with departmental employees.
5.2        Leave may be granted at par with departmental employees.

6.   Pention
6.1        Minimum Rs. 5000/- pention may be granted to GDS who entered in the department on or before 01-04-2004.

7.   Medical Facilities
7.1        All the medical facilities recommended by 7th CPC to regular departmental employees may be granted to GDS.

8.   Gratuity
8.1        Several high courts and the Supreme Court obvisouly given judgements that the Gramin Dak Sevaks may be paid gratuity as per the gratuity act. The judgement copy is enclosed. Hence GDS may be granted gratuity at par with regular employees.


9.   Trade Union Facilities.
9.1        Grant full trade union facilities including foreign service to AIGDSU. Membership may be granted in JCM and RJCM.

10.               Transfers
10.1    The Chief Postmaster General is compentent authority to transfer the GDS as per the existing norms. This union is urging that the powers may be vested to Regional PMGs for GDS transfers. Pay protection may be granted after transfer.
10.2    The existing norms for GDS transfer may be liberalized.

11.               Descrimination to issue D.A order

11.1    Bonus order for regular Departmental employees and GDS employees are issued at the same time and in the same order. But D.A. orders are issued differently. GDS D.A orders are issued after ten or fifteen days. D.A. orders may be issued it the same time and in the same order

Wednesday, 28 September 2016

கோட்ட/கிளை செயலர் கவனத்திற்கு வேலை நிறுத்த போராட்ட தேதி மாற்றம் பற்றிய அறிவிப்பு

தமிழக உள்ளாட்சி தேர்தல் 17.10.2016, 19.10.2016 ஆகிய தியதிகளில் நடைபெறுவதாக அரசு அறிவித்துள்ளதால் நமது அகில இந்திய சங்கம் அறிவித்திருந்த வேலை நிறுத்த போராட்டம் 25.10.2016, 26.10.2016 ஆகிய நாட்களில் நடைபெறும். எனவே கோட்ட கிளைச்செயலர்கள் ஏற்கனவே அறிவித்த 18.10.2016, 19.10.2016 தேதிகளுக்கு பதிலாக தற்போது அறிவிக்கப்பட்டுள்ள 25.10.2016, 26.10.2016 ஆகிய தியதிகளில் வேலை நிறுத்த போராட்டம் நடத்திடுவதற்கான ஆயத்த பணிகளை மேற்கொண்டு போராட்டம் முழுவீச்சில் நடைபெற ஆவண செய்யுமாறு மாநில சங்கம் வேண்டுகோள் விடுக்கிறது.

                                                                                            A இஸ்மாயில்
                                                                                            மாநில செயலர் 

Saturday, 24 September 2016

கோட்ட/கிளை செயலர்கள் கவனத்திற்கு

 மத்திய அரசு ஊழியர்களுக்கு 2014-2015 ம் ஆண்டிற்கு உயர்த்தி வழங்கப்பட்ட போனஸ் நிலுவை தொகையினை GDS ஊழியர்க்கும் வழங்கிட மறுக்கும் அஞ்சல் இலாகாவின் நடவடிக்கையை கண்டித்து அகில இந்திய சங்கம் மூன்று கட்ட போராட்ட அறிவிப்பினை வெளியிட்டுள்ளது. அதன்படி முதற்கட்டமாக வரும் 05.10.2016 அன்று கோட்ட  அலுவலகங்களின் முன் தர்ணா போராட்டமும் இரண்டாம் கட்டமாக 14.10.2016 அன்று டில்லியில் DG அலுவலகம் முன்பு தர்ணா போராட்டமும் மூன்றாவது கட்டமாக 18.10.2016 மற்றும் 19.10.2016 இரு நாட்கள் வேலை நிறுத்த போராட்டமும் நடத்துவது என முடிவு செய்யப்பட்டுள்ளது.

எனவே கோட்ட கிளை செயலர்கள் விரைந்து செயல்பட்டு வேலை நிறுத்த போராட்டம் முழு அளவில் நடைபெற பகுதி வாரியான விளக்க கூட்டங்கள் நடத்தி அனைத்து GDS ஊழியர்களையும் போராட்டத்தில் கலந்து கொள்ள ஆவண செய்யுமாறு மாநில சங்கம் வேண்டுகோள் விடுக்கிறது.

                                                                                                                A இஸ்மாயில் 
                                                                                                               மாநில செயலர் 



Resolution of 9th All India Conference held at Siddagangamatt, Ketasandra, Thumukur Division,Karnataka Circle - Reg. on Problem of GDS Status.

Tele-Fax: 23697701

ALL INDIA GRAMIN DAK SEVAKS UNION (AIGDSU)

(Central Head Quarter)

First Floor, Post Office Building, Padamnagar, Delhi 110007

President:                   M. Rajangam


General Secretary:       S.S. Mahadevaiah
Letter No. GDS/CHQ/1/6/2016                 Dated: 23/09/2016

To

The Secretary,
Department of Posts,
Dak Bhavan New Delhi - 110 001.

Sir,

Sub.:          Resolution of 9th All India Conference held at Siddagangamatt, Ketasandra, Thumukur Division,Karnataka Circle - Reg. on Problem of GDS Status.


        A resolution adapted by the 9th All India Conference of the All India Gramin Dak Sevaks Union held at the historic place Siddagangamatt, Ketasandra, Thumukur Division, Karnataka Circle from 17th   to 19thSeptember, 2016.on the above subject is forwarded herewith.

        You are requested kindly to consider the views put forth in the resolution and cause to issue necessary orders accordingly.
       
With high regards,
                                                                        Yours faithfully 
         
  
(S.S. Mahadevaiah)
                                                                              General Secretary

  
Resolutions on GDS Problem of STATUS
The 9th All India conference in session at the historic place Sri Uddaneshwara Samudaya Bhavana, Sri Siddaganga math, Kyathasandra, Tumakuru, Dn. Karnataka discussed at length various burning issues concerning GDS and therefore urged unanimously for immediate settlement/improvement.  The following demands require urgent attention and immediate settlement

1.      Resolution on STATUS:- The Central Government is yet to consider the long pending demand of ED employees (Now GDS) for Grant of Status and pension, despite full justification viz, Supreme Court verdict calling Civil Servants, agreement during strike to appoint one man committee with a specific terms of reference of pension, recommendation of Justice Talwar Committee report, part time/casual labour getting status etc. The status of GDS is not even better than part time casual employees as the contingent employee will get status in case of combination of two posts.  But it is not so in case of GDS who have been performing combined duties.  A meagre allowance of Rs. 250/- is given to the BPM who take the extra burden of 3-5 hours for delivery/mail conveyance. The Central Government should be a model employer and in order to put an end to this kind of practice, the demand needs to be met with early.  Accordingly the name GDS should be changed to “Gramin Dak Karamchari or Rural Postal Employee”.


                                                                                 Sd/-
                                                                                     President
                                                                                                  AIGDSU

Tele-Fax: 23697701

ALL INDIA GRAMIN DAK SEVAKS UNION (AIGDSU)

(Central Head Quarter)

First Floor, Post Office Building, Padamnagar, Delhi 110007

President:                   M. Rajangam


General Secretary:       S.S. Mahadevaiah
Letter No. GDS/CHQ/1/7/2016                 Dated: 23/09/2016

To

The Secretary,
Department of Posts,
Dak Bhavan New Delhi - 110 001.

Sir,

Sub.:          Resolution of 9th All India Conference held at Siddagangamatt, Ketasandra, Thumukur Division,Karnataka Circle - Reg. on Problems

        A resolution adapted by the 9th All India Conference of the All India Gramin Dak Sevaks Union held at the historic place Siddagangamatt, Ketasandra, Thumukur Division, Karnataka Circle from 17th   to 19thSeptember, 2016.on the above subject is forwarded herewith.

        You are requested kindly to consider the views put forth in the resolution and cause to issue necessary orders accordingly.
       
With high regards,
                                                                        Yours faithfully 
         
  
(S.S. Mahadevaiah)
                                                                        General Secretary


Resolutions on GDS Problems
          The 9th All India conference in session at the historic place Sri Uddaneshwara Samudaya Bhavana, Sri Siddaganga math, Kyathasandra, Tumakuru, Dn. Karnataka discussed at length various burning issues concerning GDS and therefore urged unanimously for immediate settlement/improvement.  The following demands require urgent attention and immediate settlement:-
1.         Grant-eight hours work to all GDS.           All incentives will be abolished and the work will be included in the workload.
2.          HRA should be granted at par with regular employees and Grant GDS Children Education fee.
3.         Transport allowance should be granted to GDS who are working at urban and semi urban places at par with departmental employees.
4.         Promotions/Leave and other benefits:-
i.             Annual increase at par with regular employees, that is 3%.
ii.            Three promotions MACP to all GDS on completion of 10th, 20th, 30th year of their services shall be granted.
iii.           CL, EL etc. like the Departmental Employees should be given to the GDS.
iv.          The period of GDS service should be counted for pension and gratuity to the promotees.
v.            The date of superannuation of GDS should be the last working day of the month of retirement.
vi.          Gratuity should be as per Gratuity Act for GDS also. The present grant of sixty thousand for both Severance amount should be the minimum, that is whichever is more.
vii.         Group Insurance at par with regular employees at least minimum  Rs 10,00,000/-
  5.    Contributory New Pension Scheme parity with SDBS Scheme to GDS and Medical coverage:-
I. on Social Security, Pension, it is disappointing to see that no acceptance has been made for the contributory Pension Scheme although SDBS. This is a vital issue for us. Contributory pension at par with regular employees, as recommended by 7th CPC, may be granted to GDS Officials.
Monthly Service Discharge benefit(like Pension/NPS) to those not covered under SDBS:  A monthly regular income, a social security is to be assured to a section who have rendered service upto 65 years and the lump sum grant is never a scheme of Pension or NPS.  A minimum of Rs. 4500/- in lieu of Severence allowance be assured to those retired/retiring from service on 1.1.2006 to 1.1.2016
II. At least Rs. 2,00,000/- yearly medical coverage for serving and retired GDS employees.
                                                                                 Sd/-
                                                                                     President

Grant of enhanced arrear bonus Rs. 7,000/- to Gramin Dak Sevaks Resolution of All India Conference held at Siddagangamatt, Ketasandra, Thumukur Division,Karnataka Circle resolution on Bonus communicated on 23-09-2016.


Wednesday, 21 September 2016

30.08.2016 அன்று நடைபெற்ற நான்கு மாத பேட்டியில் விவாதிக்கப்பட்ட பிரச்சனைகளுக்கு இலாகாவின் பதில்

Department of Posts
O/o the Chief Postmaster General, T.N. Circle, Chennai 600 002

Minutes of the Four Monthly meeting held by the Chief PMG with All India Gramin Dak Sevaks Union in the Conference Hall of the O/o the Chief Postmaster General on 30th  Aug’16

The following were present:
Administration side
S/Shri/Smt
Union side
S/Shri
Dr. Charles Lobo, Chief PMG
A. Ismail, Circle Secretary
V. Murugaiyan, GM (PA & F)
C.K. Subramani, Circle Vice President
Sharda Sampath, PMG, WR

J.T. Venkateswarlu, PMG (M & BD)

A. Govindarajan, DPS (CCR)

A. Saravanan, DPS (HQ)


The following items were discussed:
 New Subjects:
 Subject No. 1
     Unjust recovery of TRCA from GDS Officials in Cuddalore, Vriddhachalam, Pudukkottai and Thanjavur Divisions:
      During the last Four monthly meeting held on 27th Apr’16, the subject relating to Cuddalore, Vriddhachalam, Pudukkottai and Thanjavur Divisions were discussed and it was assured by the Chief PMG that all the 72 cases of the above said three Divisions will be reviewed by the PMG, Central Region and finalized early.  After arriving this discussion, this item was discussed with the PMG & DPS, Central Region in the Bi-monthly meeting held on 30th May’16.  During this Bi-monthly meeting, the PMG was considerate to accept the demand of the Circle Union.  Whereas the DPS, Central Region was rather confusing or twisting the issue with his misleading argument and hence the recovery has not been stopped yet in all the said three Divisions. 
     Instead, similar recovery has been ordered in Thanjavur Division also.  This is nothing but an act of adding salt to the injury.  Therefore this Circle Union records deep resentment over the faulty decisions of the DPS, Central Region on this issue with a kind request to Chief PMG for stopping all such recoveries immediately in all the affected four Divisions in Central Region besides guarding against such recovery elsewhere in the Circle as well.
 Reply:
      PMG, Central Region is directed to review all these cases and take immediate action.
 Subject No. 2:
      Filling up of unfilled vacancies of Postman in Chennai City Region among the Circle level merit list:
      The result of Postman examination held in the year 2016 has been released during the month of Jun’16.  The result has been declared according to the merit list in Chennai City Region.  Even after the announcement of result there are about 44 vacancies still available in Chennai City Region.  It is requested that this remaining unfilled vacancies may be filled up immediately from among the merit list drawn up at Circle level since the examination was conducted throughout the whole Circle only.  If the remaining 44 vacancies in Chennai City Region are filled up from among the Circle level merit list it will enable the merited GDS candidates working elsewhere in the Circle to be promoted as Postman in this year itself.  Though this item was brought to the notice of the Chief PMG by this Circle Union through letter dated 01st Jul’16, it appears that no action has been taken so far in this regard.  Therefore urgent action is requested on this problem. 
 Reply:
      PMG, CCR vide letter No.REP/5-2/PM Exam/15-16/CCR/Vol.III dated 08th Aug’16 called for report from the Divisions, and options from Surplus qualified Candidates who has appeared for the Competitive Examination for GDS to the cadre of Postman/Mail Guard held on 17th Apr’16 for the vacancies of 2015-16. 
     However, suggestions will be examined.
 Subject No. 3:
      Stopping of surety bond recovery:
      Advance recoveries are effected towards surety bond for every five years as a measure of one time action.  This is causing financial hardship to the GDS employees.  Hence it is requested that effecting of such lump sum recovery may be stopped and instead, the practice of furnishing security bonds in the form of NSC, POSB, TD etc. be  introduced duly pledged by the GDS employees since this will enable the GDS Officials to get their security amount after release of pledges soon after retirement or discharge.  At present the lump sum recovery effected for every 5 years in advance is not being returned to the GDS on any later date.  Hence, this suggestion of this Union may kindly be considered favourably. 
 Reply:
      As per Directorate’s letter NO.22-12/2001-GDS dated 17th Sep’13, the security will be in the form of Fidelity Bond or NSC pledged to the Department in the name of the President of India.  If there are cases of non-release of security bond they may be taken up with Divisional Superintendent concerned.  
(ITEM CLOSED)



(P.V. Balachander)
Asst. Director (SR&WLF)
For Chief Postmaster General
T.N. Circle, Chennai 600 002

No.SR/2-2/20/16    dated at Chennai 600 002               the           20th  Sep’16
Copy to:

1.   Shri. A. Ismail, GDS BPM, South Soorangudi BO, Eathamozhi SO, Kanniyakumari Division 629 501.

2.   Spare.



(P.V. Balachander)
Asst. Director (SR&WLF)
For Chief Postmaster General
T.N. Circle, Chennai 600 002
Assistant Director (SR/WLF/Sports),
O/o the Chief PMG, Tamilnadu Circle,
Chennai - 600 002.